网站首页>选金设备产品展示>河道淘金设备>河滩河道洗金淘金设备挖深12米

河滩河道洗金淘金设备挖深12米

河滩河道洗金淘金设备

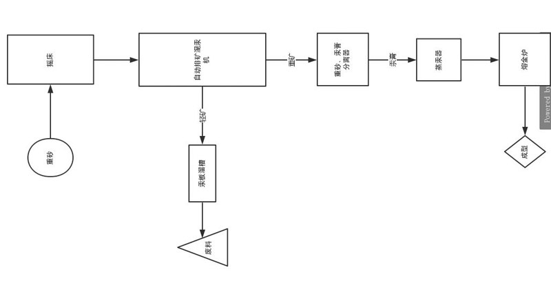
350-400吨,挖深12米河滩河道洗金淘金设备流程概述:原料通过挖斗送入绞洗式滚筒筛内进行清洗,并且进行筛选分级为:细料、中料与废料三种规格。废料通过输送机直接排出;中料通过料斗溜槽排入一台振动溜槽进行回收后,废料排出;细料排入料箱内通过两台沙泵分别送入两台1200#卧式全自动排矿离心机内进行回收,精料自动排出至料箱内,废料通过管道排出。

河滩河道洗金淘金设备

350-400吨,挖深12米河滩河道洗金淘金设备生产工艺流程示意图



精选工艺流程示意图(选配)



河滩河道洗金淘金设备技术参数&报价清单

名称

规格

数量

功率

备注

主浮体

总长34.5米,单宽1.8米,高1.15米;面板4mm花纹板,底板、侧板6mm
骨架12#、10#槽钢、5#角钢

2条

 

 

边浮体

总长11米,单宽1.8米,高1.15米;面板4mm花纹板,底板、侧板6mm
骨架12#、10#槽钢、5#角钢

2条

 

 

方架/斜架

高6.5米,长5.9米,宽2米
主架主材质:20#工字钢

1套

 

 

大臂

两节臂,长度约25.5米

1套

 

 

上四角轮

轮径1350mm,轴径:250mm,轴承型号:22348#
边板厚度20mm

1套

 

 

下五角轮

轮径1750mm,边板厚度25mm,轴径135mm,轴承型号22326#、6326#,共4盘

1套

 

 

挖斗

1000#,宽度1000mm

67个

 

单斗容积0.3方

链条

弹簧钢 单厚50MM,总厚150MM 高150mm

134条

 

 

龙门架

横梁Ø180*20管,立柱Ø159*16管,辅材150#方管

1套

 

 

滑轮

Ø250mm,7个,

1套

 

 

滚筒筛

无轴绞洗式滚筒筛
净筛网长度3米,内径1.3米,外径1.6米
绞洗筒径1.3米,内含多条螺旋铰刀
内层筛5X10CM编孔,材质:Ø22mm油田耐磨提油杆
外层筛采用耐磨锰钢筛网,孔径可调
动力:400#减速机+11KW电机

1套

 

 

四角轮动力

1300#减速机(铁壳焊接)
柴油机:康明斯,6BTAA5.9-G2电调,1500转(120KW)
400#船减1台

1套

 

 

起大臂动力

500#减速机
15KW电机

1套

 

 

主锚

400#减速机
11KW电机

1套

 

 

副锚

250#减速机
3KW电机

4套

 

 

振动溜槽

1200*4500

1台

 

 

离心机

1200#卧式全自动排矿离心机
PLC电脑全自动控制
电机功率:18.5KW
空气压缩机:3KW

2台

 

 

离心水泵

11KW

1台

 

 

沙泵&料箱

4寸沙泵+15KW电机+料箱

2套

 

 

废料杆

B800X9m

1套

 

 

配电箱

开关品牌:德力西或正泰

1套

 

不含线缆

发电机组

200KW康明斯

1台

 

 

装机总功率

143.5KW(不含给水泵)

工作功率

105.5KW(不含给水泵)

出厂价格

税前¥:15053659999来电索要(含发电机组,不含水电与运费,税率13%)

河滩河道洗金淘金设备

河滩河道洗金淘金设备

产品目录

PRODUCTS

推荐文章

NEWS LIST

地址:青州市黄楼街道办事处东建德村

后客服:0536-3593111传真:0536-3593111手机:15053659999,15653473333 E-mail:1592999333@qq.com

版权所有:青州球盟会qmh有限公司 鲁ICP备09020970号-28  鲁公网安备 37078102002217号

服务热线:15053659999,15653473333